
Beer makes humans more attractive to malarial mosquitoes
We’ve all heard about “beer goggles”, the mythical, invisible eyewear that makes everyone else seem incredibly attractive after a few pints too many. If only beer had the reverse effect, making the drinker seem irresistibly attractive. Well, the good news is that beer does actually do this. The bad news is that the ones who are attracted are malarial mosquitoes.
Anopheles gambiae (the mosquito that transmits malaria) tracks its victims by their smells. By wafting the aromas of humans over thousands of mosquitoes, Thierry Lefevre found that they find the body odour of beer drinkers to be quite tantalising. The smell of tee-total water drinkers just can’t compare. The somewhat quirky conclusion from the study, albeit one with public health implications, is that drinking beer could increase the risk of contracting malaria.
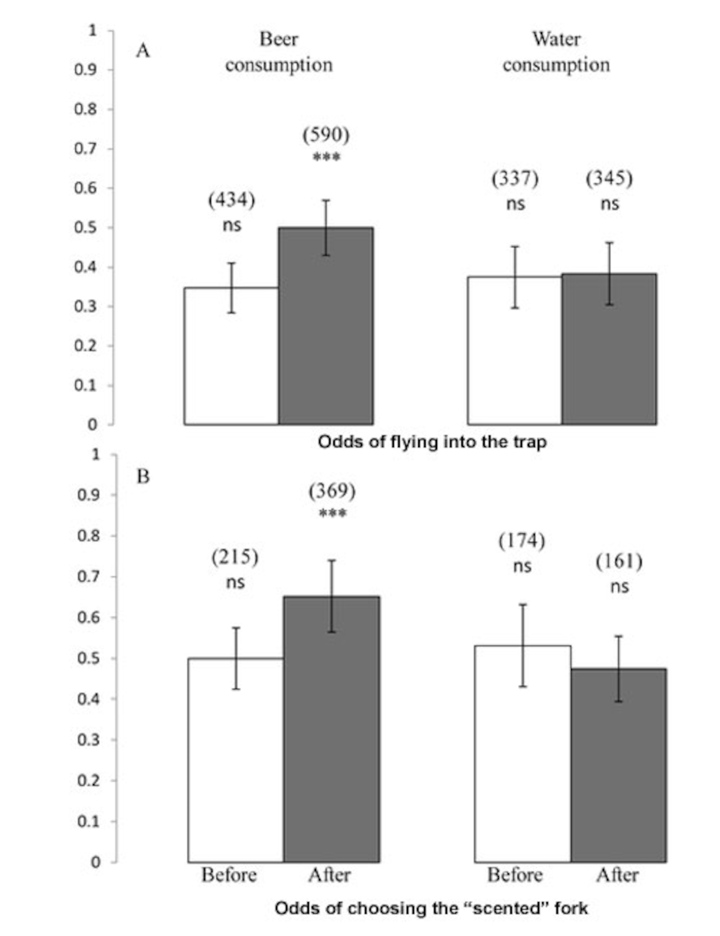
Lefevre recruited 43 men from Burkina Faso and sent them individually into one of two sealed, outdoors tents. One tent was kept unoccupied. In the second, the volunteer had to drink either a litre of water (just shy of two pints) or a litre of dolo (a local 3% beer and the country’s most popular alcoholic drink). A fan pumped air from the tents, body odour and all, into the two forks of a Y-shaped apparatus. Both branches met in a third arm, which ended in a cup full of mosquitoes. The insects had to decide which branch of the Y to fly down and two pieces of gauze trapped them in their chosen path (and saved the volunteers from an infectious bite).
Lefevre showed that the smell of a beer drinker, 15 minutes after chugging his litre, increased the proportion of mosquitoes inclined to fly into the tubes, and the proportion (65%) who headed down the beer-scented fork. The smell of water-drinkers had no effect, nor did the smell of the occupied tent before its inhabitant started drinking.

What is it about a beer drinker that is so appealing? No one knows. Mosquitoes are drawn to the smell of carbon dioxide, but the beer drinkers weren’t exhaling any more of this gas after their drink. Something about the smell of beery body odours attracts mosquitoes. Mosquitoes also fancy body heat, but beer actually lowered the volunteers’ temperature by a fraction of a degree. Metabolising beer probably releases a slew of chemicals that mosquitoes are drawn to but the identity of these airborne attractants is a mystery. Nor do we know if the chemicals in question are specific to beer, or common to all alcoholic drinks.
This study is perfect tabloid fodder, but it has a very serious side. To mosquitoes, not all humans are equal. The bloodsuckers are quite picky about whom they suck from, and an important global study revealed that in problem areas, 20% of people receive 80% of all malaria infections. As such, it’s quite important to work out what makes one person a delectable feast and another person a bloody turn-off.
Beer can’t explain all of this variation by any means. After all, Lefevre found that some people were naturally attractive to mosquitoes without drinking anything; beer merely boosted these natural charms. So a pint of lager in the African sunset isn’t going to guarantee a raging malarial fever, but it might increase the risk of one.
There are other reasons to think that the beer effect may be more serious than shown in this study. For a start, A.gambiae is a night biter. It’s most active after sunset, which probably coincides with the time its prey is most likely to smell of beer. Drinking moderate to heavy amounts of alcohol can also suppress the immune system so regular beer drinkers are not only more likely to encounter malarial mosquitoes but they could be more vulnerable to the parasites they carry. And finally, at least one previous study showed that Aedes mosquitoes, carriers of dengue fever, are drawn to the aroma of beer drinkers, so the public health implications may go beyond just malaria.
Finally, Lefevre even puts forward a completely speculative, but cool, idea – perhaps the fact that mosquitoes wear beer goggles isn’t just a coincidence. It’s possible that they might have evolved a slight preference for the smell of beer-drinkers, either because their blood is full of nutrients or as he dryly notes, “possibly due to reduced host defensive behaviours”! As Lefevre says, “This hypothesis is appealing but requires further investigations.”

Reference: Lefèvre, T., Gouagna, L., Dabiré, K., Elguero, E., Fontenille, D., Renaud, F., Costantini, C., & Thomas, F. (2010). Beer Consumption Increases Human Attractiveness to Malaria Mosquitoes PLoS ONE, 5 (3) DOI: 10.1371/journal.pone.0009546
More on mosquitoes:
- One parasite to rule them all – Wolbachia protects against mosquito-borne diseases
- Mosquitoes harmonise their buzzing in love duets
- Life-shortening bacteria vs. dengue mosquitoes
- Bacterial smells have potential for trapping pregnant mosquitoes
- Size matters for mosquitoes but medium-sized males do better
